커뮤니티

공식을 지표로 만들어 주시면 감사하겠습니다..

프로필 이미지
회원
2020-08-24 01:22:18
1544
글번호 141705
답변완료

첨부 이미지

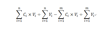
제공되는 기본 지표에 거래량 가중 MACD (VW-MACD)는 없는걸로 알고 있어서 나름대로 만들어 볼려고는 했지만 잘 안되네요.. 첨부한 공식이 VW-MACD 산출 공식입니다. VW-MACD, VW-MACD signal(9), VW-MACD 히스토그램이 같이 보이도록 만들어 주시면 정말 감사하겠습니다. n=단기 이동평균 산출기간(=12) m=장기 이동평균 산출기간(=26) c=종가 v=거래량
지표
답변 2
프로필 이미지

예스스탁 예스스탁 답변

2020-08-24 16:26:15

안녕하세요 예스스탁입니다. input : Short(12),Long(26),sig(9); var : CVsum1(0),Vsum1(0),CVsum2(0),Vsum2(0),VWMACD(0),VWMACDsig(0),VWMACDosc(0); CVsum1 = AccumN(C*V,Short); Vsum1 = AccumN(V,short); CVsum2 = AccumN(C*V,Long); Vsum2 = AccumN(V,Long); VWMACD = CVsum1/Vsum1 - CVsum2/Vsum2; VWMACDsig = ema(VWMACD,Sig); VWMACDosc = VWMACD-VWMACDsig; plot1(VWMACD,"VWMACD"); plot2(VWMACDsig,"VWMACD signal"); plot3(VWMACDosc,"VWMACD osc"); PlotBaseLine1(0); 즐거운 하루되세요 > 곰군 님이 쓴 글입니다. > 제목 : 공식을 지표로 만들어 주시면 감사하겠습니다.. > 제공되는 기본 지표에 거래량 가중 MACD (VW-MACD)는 없는걸로 알고 있어서 나름대로 만들어 볼려고는 했지만 잘 안되네요.. 첨부한 공식이 VW-MACD 산출 공식입니다. VW-MACD, VW-MACD signal(9), VW-MACD 히스토그램이 같이 보이도록 만들어 주시면 정말 감사하겠습니다. n=단기 이동평균 산출기간(=12) m=장기 이동평균 산출기간(=26) c=종가 v=거래량
프로필 이미지

회원

2020-08-24 23:01:51

회원 님에 의해 삭제된 답변입니다.